「LOL」という言葉は、おそらくもはや笑い話ではないでしょう。ソーシャルネットワーク上で感情状態を表現するために使用される言葉や略語の中で、その絶対的な支配は間違いなく終わりました。少なくとも、フェイスブックが明らかにしたデータが信じられるのであれば、フェイスブックは、「大笑い」は時代遅れであり、ユーザーはより普遍的なバージョンのハハとその派生語や顔文字を使用することを好むと主張している。
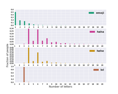
まだ使用している場合 LOLの略称, それならあなたはおそらく少数派です。 Facebook が公開したデータ (この調査は Facebook 上のコメントに限定されており、Facebook Messenger 経由で送信されたコンテンツはカウントされていません) によると、ユーザーは次のとおりです。 デジタル版の笑い 彼らは略語(LOL)の代わりに、より認識しやすい(感動詞)を使用することを好みます。 ははは 等々 感情の象徴 (小人像)。ははは、バリエーションがとても上手ですね シェア51% 感情的な状態を反映する表現(例: 13.1 パーセント)、 33.7% 「市場シェア」 感情の象徴に属します。
続きを読む: トレンド: LOL コアの秋トレンドに関する 10 の事実

笑、2011年当時はとても大きかったので、 オックスフォード英語辞典のオンライン版に掲載されました、今日では適切な言葉ではなくなりました。 1.9パーセント はるかに遅れを取ります。 Nokia だけが共感できる転倒です。一方、感情的なシンボルは急速に増加しています。 Nokia (笑) と Samsung (絵文字) の類似点はまったくの偶然です。




