La parola LOL probabilmente non fa più ridere, in quanto il suo regno incontrastato tra le parole o le sigle usate per esprimere uno stato emotivo sui social network è senza dubbio finito. Almeno, se si deve credere ai dati rivelati da Facebook, che sostiene che "Laught Out Loud" sia passato di moda e che gli utenti preferiscano utilizzare la versione più universale di ha-ha e dei suoi derivati ed emoticon.
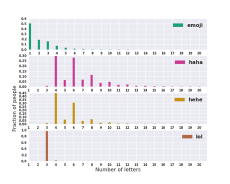
Se stai ancora usando un'abbreviazione di LOL, allora probabilmente sei in minoranza. I dati (la ricerca si limitava ai commenti su Facebook e non contava i contenuti inviati tramite Facebook Messenger) pubblicati da Facebook mostrano che gli utenti come l'equivalente digitale della risata invece della sigla LOL preferiscono usare una più riconoscibile (interiezione) ah ah e così via simboli emotivi (figure nane). Ha-ha, le variazioni vanno così bene quota 51%. tra le espressioni che riflettono uno stato emotivo (hehe ad esempio del 13,1 per cento), mentre 33,7% "quota di mercato" appartiene ai simboli emotivi.
PER SAPERNE DI PIÙ: Tendenza: 10 fatti sulla tendenza al ribasso LOL-core

Lol, che era così grande nel 2011 che lo ha fatto è arrivato all'edizione online dell'Oxford English Dictionary, non è più una parola rilevante oggi, perché con l'1,9%. rimane molto indietro. Una caduta in cui solo Nokia può identificarsi. Nel frattempo, i simboli emotivi stanno vivendo un aumento vertiginoso. La somiglianza tra Nokia (lol) e Samsung (emoticon) è puramente casuale.




