Besedi LOL verjetno ni več do smeha, saj je njene nesporne vladavine med besedami oziroma kraticami, ki jih za izraz čustvenega stanja uporabljamo na družbenih omrežjih, nedvomno konec. Vsaj, če gre verjeti podatkom, ki jih je razgrnil Facebook, ki trdi, da je ''Laught Out Loud'' prišel iz mode in da se uporabniki raje poslužujejo bolj univerzalne različice ha-ha in njenih izpeljank ter čustvenih simbolov.
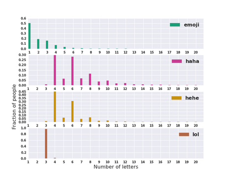
Če še vedno uporabljate kratico LOL, potem ste verjetno v manjšini. Podatki (raziskava je bila omejena na komentarje na Facebooku in ni štela vsebine poslane prek Facebook Messengerja), ki jih je objavil Facebook namreč kažejo, da uporabniki kot digitalni ekvivalent za smeh namesto kratice LOL raje uporabljajo bolj prepoznaven (medmet) ha-ha in pa čustvene simbole (pritlikave podobice). Ha-ha variacije si tako režejo kar 51-odstotni delež med izrazi, ki odražajo čustveno stanje (hehe na primer 13,1-odstotnega), medtem ko 33,7-odstotni ”tržni delež” pripada čustvenim simbolom.
PREBERITE ŠE: Trend: 10 dejstev o odštekanem jesenskem trendu LOL- core

Lol, ki je bil še leta 2011 tako velik, da se je prebil v spletno izdajo Oxfordskega angleškega slovarja, danes ni več relevantna beseda, saj z 1,9 odstotka caplja daleč zadaj. Padec, s katerim se lahko poistoveti samo še Nokia. Medtem pa meteorski vzpon doživljajo čustveni simboli. Podobnost Nokie (lol) in Samsunga (emotikonov) je zgolj naključna.




