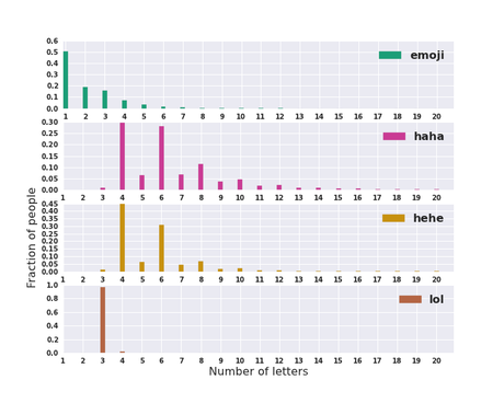
La palabra LOL probablemente ya no sea cosa de risa, pues su reinado indiscutible entre las palabras o abreviaturas utilizadas para expresar un estado emocional en las redes sociales sin duda ha terminado. Al menos, si hay que creer en los datos revelados por Facebook, que afirma que "Laught Out Loud" ha pasado de moda y que los usuarios prefieren utilizar la versión más universal de ha-ha y sus derivados y emoticonos.
Si todavía está usando una abreviatura de LOL, entonces probablemente estés en la minoría. Los datos (la investigación se limitó a los comentarios en Facebook y no contó el contenido enviado a través de Facebook Messenger) publicados por Facebook muestran que los usuarios como el equivalente digital de la risa en lugar de la abreviatura LOL prefieren usar una más reconocible (interjección) ja ja y así símbolos emocionales (figuras enanas). Ja, ja, las variaciones cortan tan bien. 51% de participación entre expresiones que reflejan un estado emocional (jeje por ejemplo del 13,1 por ciento), mientras que 33,7% "cuota de mercado" pertenece a los símbolos emocionales.
LEE MAS: Tendencia: 10 datos sobre la tendencia de otoño LOL-core

Lol, que era tan grande en 2011 que lo hizo llegó a la edición en línea del Oxford English Dictionary, ya no es una palabra relevante hoy en día, porque con 1.9 por ciento se queda muy atrás. Una caída con la que solo Nokia puede identificarse. Mientras tanto, los símbolos emocionales están experimentando un ascenso meteórico. La similitud entre Nokia (lol) y Samsung (emoticones) es pura coincidencia.




