Slovo LOL už asi není k smíchu, neboť jeho nesporná nadvláda mezi slovy či zkratkami používanými k vyjádření emočního rozpoložení na sociálních sítích nepochybně skončila. Alespoň pokud se dá věřit údajům odhaleným Facebookem, který tvrdí, že „Laught Out Loud“ vyšel z módy a uživatelé raději používají univerzálnější verzi ha-ha a jeho derivátů a emotikonů.
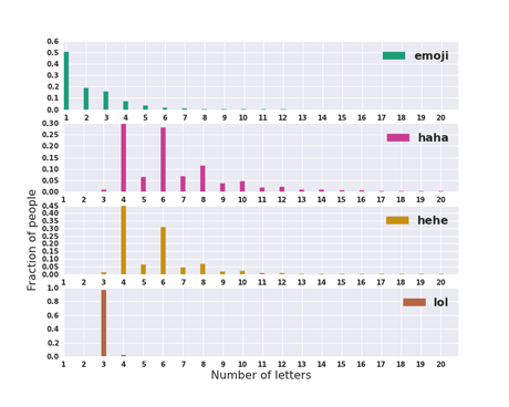
Pokud stále používáte zkratka LOL, pak jste pravděpodobně v menšině. Data (výzkum se omezil na komentáře na Facebooku a nezapočítával obsah odeslaný přes Facebook Messenger) zveřejněná Facebookem ukazují, že uživatelé jako digitální ekvivalent smíchu místo zkratky LOL raději používají rozeznatelnější (citoslovce) ha ha a tak dále emocionální symboly (trpasličí postavy). Ha-ha, ty variace krájí tak dobře 51% podíl mezi výrazy, které odrážejí emocionální stav (hehe například 13,1 procenta), zatímco 33,7% "podíl na trhu" patří k emocionálním symbolům.
PŘEČTĚTE SI VÍCE: Trend: 10 faktů o trendu pádu jádra LOL

Lol, který byl v roce 2011 tak velký, že byl dostal se do online vydání Oxfordského anglického slovníku, dnes již není relevantní slovo, protože s 1,9 procenta zaostává daleko. Pád, se kterým se ztotožní jen Nokia. Mezitím emocionální symboly zažívají raketový vzestup. Podobnost mezi Nokií (lol) a Samsungem (emotikony) je čistě náhodná.




