A palavra LOL provavelmente não é mais motivo de riso, pois seu reinado indiscutível entre as palavras ou abreviações usadas para expressar um estado emocional nas redes sociais sem dúvida acabou. Pelo menos, se acreditarmos nos dados revelados pelo Facebook, que afirma que "Laught Out Loud" saiu de moda e que os usuários preferem usar a versão mais universal do ha-ha e seus derivados e emoticons.
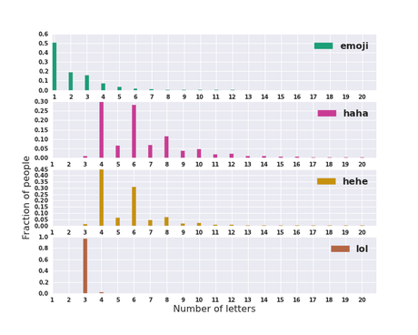
Se você ainda estiver usando uma abreviatura de LOL, então você provavelmente está em minoria. Os dados (a pesquisa se limitou a comentários no Facebook e não contabilizou conteúdos enviados via Facebook Messenger) publicados pelo Facebook mostram que usuários como o equivalente digital do riso em vez da abreviação LOL, eles preferem usar uma (interjeição) mais reconhecível ha ha e assim por diante símbolos emocionais (figuras anãs). Ha-ha, as variações cortam tão bem 51% de participação entre expressões que refletem um estado emocional (hehe por exemplo de 13,1 por cento), enquanto 33,7% "participação de mercado" pertence aos símbolos emocionais.
CONSULTE MAIS INFORMAÇÃO: Tendência: 10 fatos sobre a tendência de queda LOL-core

Lol, que era tão grande em 2011 que fez chegou à edição online do Oxford English Dictionary, não é mais uma palavra relevante hoje, porque com 1,9 por cento fica muito para trás. Uma queda com a qual só a Nokia se identifica. Enquanto isso, os símbolos emocionais estão experimentando uma ascensão meteórica. A semelhança entre Nokia (lol) e Samsung (emoticons) é mera coincidência.




