Ordet LOL är förmodligen inte längre roligt, eftersom dess obestridliga herravälde bland de ord eller akronymer som används för att uttrycka känslomässiga tillstånd på sociala nätverk utan tvekan är över. Åtminstone om vi ska tro på de uppgifter som släppts av Facebook, som hävdar att "Laugh Out Loud" har fallit ur modet och att användare föredrar att använda den mer universella versionen av ha-ha och dess derivater och emotikoner.
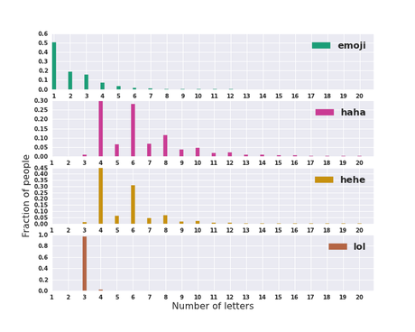
Če še vedno uporabljate kratico LOL, potem ste verjetno v manjšini. Podatki (raziskava je bila omejena na komentarje na Facebooku in ni štela vsebine poslane prek Facebook Messengerja), ki jih je objavil Facebook namreč kažejo, da uporabniki kot digitalni ekvivalent za smeh namesto kratice LOL raje uporabljajo bolj prepoznaven (medmet) ha-ha och så vidare čustvene simbole (pritlikave podobice). Ha-ha variacije si tako režejo kar 51-odstotni delež med izrazi, ki odražajo čustveno stanje (hehe na primer 13,1-odstotnega), medtem ko 33,7-odstotni ”tržni delež” pripada čustvenim simbolom.
LÄS MER: Trend: 10 fakta om LOL-core hösttrenden

Lol, ki je bil še leta 2011 tako velik, da se je prebil v spletno izdajo Oxfordskega angleškega slovarja, danes ni več relevantna beseda, saj z 1,9 odstotka caplja daleč zadaj. Padec, s katerim se lahko poistoveti samo še Nokia. Medtem pa meteorski vzpon doživljajo čustveni simboli. Podobnost Nokie (lol) in Samsunga (emotikonov) je zgolj naključna.




