LOL이라는 단어는 아마도 더 이상 웃을 만한 일이 아닐 것입니다. 소셜 네트워크에서 감정 상태를 표현하는 데 사용되는 단어나 약어 사이에서 LOL의 확실한 지배력이 의심할 여지 없이 끝났기 때문입니다. 적어도 "Laugh Out Loud"가 유행에 뒤떨어졌고 사용자들이 하하와 그 파생물 및 이모티콘의 보다 보편적인 버전을 사용하는 것을 선호한다고 주장하는 Facebook이 공개한 데이터를 믿을 수 있다면 말입니다.
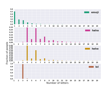
Če še vedno uporabljate kratico LOL, potem ste verjetno v manjšini. Podatki (raziskava je bila omejena na komentarje na Facebooku in ni štela vsebine poslane prek Facebook Messengerja), ki jih je objavil Facebook namreč kažejo, da uporabniki kot digitalni ekvivalent za smeh namesto kratice LOL raje uporabljajo bolj prepoznaven (medmet) ha-ha 등등 이모티콘 (pritlikave podobice). Ha-ha variacije si tako režejo kar 51-odstotni delež med izrazi, ki odražajo čustveno stanje (hehe na primer 13,1-odstotnega), medtem ko 33,7-odstotni ”tržni delež” pripada čustvenim simbolom.
더 읽어보기: 추세: LOL 핵심 가을 추세에 관한 10가지 사실

Lol, ki je bil še leta 2011 tako velik, da se je prebil v spletno izdajo Oxfordskega angleškega slovarja, danes ni več relevantna beseda, saj z 1,9 odstotka caplja daleč zadaj. Padec, s katerim se lahko poistoveti samo še Nokia. Medtem pa meteorski vzpon doživljajo čustveni simboli. Podobnost Nokie (lol) in Samsunga (emotikonov) je zgolj naključna.




