Słowo LOL chyba już nie jest tematem do żartów, ponieważ jego niekwestionowane panowanie wśród słów czy skrótów służących do wyrażania stanu emocjonalnego na portalach społecznościowych bez wątpienia dobiegło końca. Przynajmniej jeśli wierzyć danym ujawnionym przez Facebooka, który twierdzi, że „Laught Out Loud” wyszło z mody, a użytkownicy wolą używać bardziej uniwersalnej wersji ha-ha oraz jego pochodnych i emotikonów.
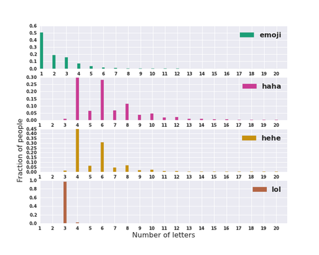
Jeśli nadal używasz skrót od LOL, to prawdopodobnie jesteś w mniejszości. Z danych (badanie ograniczono do komentarzy na Facebooku i nie uwzględniono treści przesyłanych przez Facebook Messenger) opublikowanych przez Facebook wynika, że użytkownicy jako cyfrowy odpowiednik śmiechu zamiast skrótu LOL wolą używać bardziej rozpoznawalnego (wykrzyknik) ha ha i tak dalej symbole emocjonalne (postacie krasnoludków). Ha-ha, wariacje pasują tak dobrze udział 51%. wśród wyrażeń odzwierciedlających stan emocjonalny (hehe np. 13,1 proc.), natomiast 33,7% „udział w rynku” należy do symboli emocjonalnych.
CZYTAJ WIĘCEJ: Trend: 10 faktów na temat jesiennego trendu LOL

Lol, który był tak duży w 2011 roku, że tak trafił do internetowego wydania Oxford English Dictionary, nie jest już dziś odpowiednim słowem, ponieważ z 1,9 proc pozostaje daleko w tyle. Upadek, z którym tylko Nokia może się identyfikować. Tymczasem symbole emocjonalne przeżywają błyskawiczny wzrost. Podobieństwo między Nokią (lol) a Samsungiem (emotikony) jest czysto przypadkowe.




