Le mot LOL ne fait sans doute plus rire, tant son règne incontesté parmi les mots ou abréviations utilisés pour exprimer un état émotionnel sur les réseaux sociaux est sans doute révolu. Du moins, si l'on en croit les données révélées par Facebook, qui prétend que "Laught Out Loud" est passé de mode et que les utilisateurs préfèrent utiliser la version plus universelle de ha-ha et ses dérivés et émoticônes.
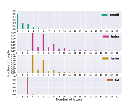
Si vous utilisez encore une abréviation de LOL, alors vous êtes probablement dans la minorité. Les données (la recherche s'est limitée aux commentaires sur Facebook et n'ont pas compté les contenus envoyés via Facebook Messenger) publiées par Facebook montrent que les utilisateurs comme l'équivalent numérique du rire au lieu de l'abréviation LOL, ils préfèrent utiliser un plus reconnaissable (interjection) ha ha et ainsi de suite symboles émotionnels (figures naines). Ha-ha, les variations coupent si bien 51 % de part parmi les expressions qui reflètent un état émotionnel (hehe par exemple de 13,1 %), tandis que 33,7% "part de marché" appartient aux symboles émotionnels.
EN SAVOIR PLUS: Tendance: 10 faits sur la tendance à l'automne LOL-core

Lol, qui était si grand en 2011 qu'il l'a fait fait partie de l'édition en ligne de l'Oxford English Dictionary, n'est plus un mot pertinent aujourd'hui, car avec 1,9 % tombe loin derrière. Une chute à laquelle seul Nokia peut s'identifier. Pendant ce temps, les symboles émotionnels connaissent une ascension fulgurante. La similitude entre Nokia (lol) et Samsung (émoticônes) est purement fortuite.




