Slovo LOL už asi nie je na smiech, keďže jeho neodškriepiteľné kraľovanie medzi slovami či skratkami používanými na vyjadrenie emocionálneho rozpoloženia na sociálnych sieťach sa nepochybne skončilo. Aspoň ak máme veriť údajom zverejneným Facebookom, ktorý tvrdí, že „Laught Out Loud“ vyšiel z módy a používatelia radšej používajú univerzálnejšiu verziu ha-ha a jeho derivátov a emotikonov.
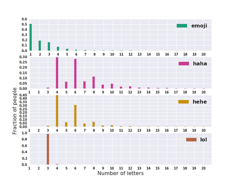
Če še vedno uporabljate kratico LOL, potem ste verjetno v manjšini. Podatki (raziskava je bila omejena na komentarje na Facebooku in ni štela vsebine poslane prek Facebook Messengerja), ki jih je objavil Facebook namreč kažejo, da uporabniki kot digitalni ekvivalent za smeh namesto kratice LOL raje uporabljajo bolj prepoznaven (medmet) ha-ha a tak ďalej emocionálne symboly (pritlikave podobice). Ha-ha variacije si tako režejo kar 51-odstotni delež med izrazi, ki odražajo čustveno stanje (hehe na primer 13,1-odstotnega), medtem ko 33,7-odstotni ”tržni delež” pripada čustvenim simbolom.
ČÍTAJ VIAC: Trend: 10 faktov o trende pádu jadra LOL

Lol, ki je bil še leta 2011 tako velik, da se je prebil v spletno izdajo Oxfordskega angleškega slovarja, danes ni več relevantna beseda, saj z 1,9 odstotka caplja daleč zadaj. Padec, s katerim se lahko poistoveti samo še Nokia. Medtem pa meteorski vzpon doživljajo čustveni simboli. Podobnost Nokie (lol) in Samsunga (emotikonov) je zgolj naključna.




