Het woord LOL is waarschijnlijk niet meer grappig, aangezien zijn onbetwiste heerschappij onder de woorden of afkortingen die gebruikt worden om emotionele toestanden op sociale netwerken uit te drukken, ongetwijfeld voorbij is. Tenminste, als we de gegevens van Facebook mogen geloven, die beweren dat 'Laugh Out Loud' uit de mode is geraakt en dat gebruikers liever de meer universele versie van haha en afgeleiden daarvan en emoticons gebruiken.
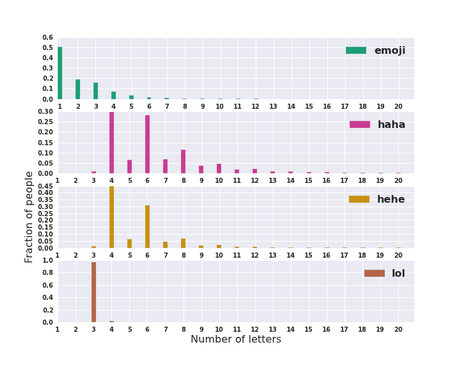
Če še vedno uporabljate kratico LOL, potem ste verjetno v manjšini. Podatki (raziskava je bila omejena na komentarje na Facebooku in ni štela vsebine poslane prek Facebook Messengerja), ki jih je objavil Facebook namreč kažejo, da uporabniki kot digitalni ekvivalent za smeh namesto kratice LOL raje uporabljajo bolj prepoznaven (medmet) ha-ha enzovoort emotionele symbolen (pritlikave podobice). Ha-ha variacije si tako režejo kar 51-odstotni delež med izrazi, ki odražajo čustveno stanje (hehe na primer 13,1-odstotnega), medtem ko 33,7-odstotni ”tržni delež” pripada čustvenim simbolom.
LEES VERDER: Trend: 10 feiten over de LOL-core herfsttrend

Lol, ki je bil še leta 2011 tako velik, da se je prebil v spletno izdajo Oxfordskega angleškega slovarja, danes ni več relevantna beseda, saj z 1,9 odstotka caplja daleč zadaj. Padec, s katerim se lahko poistoveti samo še Nokia. Medtem pa meteorski vzpon doživljajo čustveni simboli. Podobnost Nokie (lol) in Samsunga (emotikonov) je zgolj naključna.




