fbpx

لول، لقد خرج، ها ها ها هو في!

اختصار LOL يغرق ببطء في غياهب النسيان.

ربما لم تعد كلمة LOL مدعاة للضحك، حيث إن عهدها الذي لا جدال فيه بين الكلمات أو الاختصارات المستخدمة للتعبير عن الحالة العاطفية على الشبكات الاجتماعية قد انتهى بلا شك. على الأقل، إذا صدقنا البيانات التي كشفت عنها شركة فيسبوك، والتي تدعي أن أغنية "Laught Out Loud" أصبحت قديمة الطراز وأن المستخدمين يفضلون استخدام النسخة الأكثر عالمية من ها ها ومشتقاتها ورموزها التعبيرية.

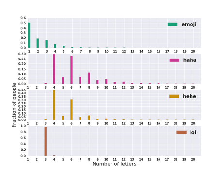
إذا كنت لا تزال تستخدم اختصار لـ LOL، فأنت على الأرجح من الأقلية. تظهر البيانات (اقتصر البحث على التعليقات على فيسبوك ولم يحسب المحتوى المرسل عبر Facebook Messenger) التي نشرها فيسبوك أن المستخدمين المعادل الرقمي للضحك بدلاً من الاختصار LOL يفضلون استخدام (مداخلة) أكثر قابلية للتمييز ها ها ها وما إلى ذلك وهلم جرا الرموز العاطفية (شخصيات قزم). هاها، الاختلافات قطعت بشكل جيد حصة 51% من بين التعبيرات التي تعكس حالة عاطفية (هي على سبيل المثال 13.1 بالمئة)، بينما 33.7% "حصة السوق" ينتمي إلى الرموز العاطفية.

اقرأ أكثر: الاتجاه: 10 حقائق حول اتجاه الخريف LOL-core

اختصار LOL يغرق ببطء في غياهب النسيان.
اختصار LOL يغرق ببطء في غياهب النسيان.

Lol، الذي كان كبيرًا جدًا في عام 2011 لدرجة أنه حدث وصلت إلى النسخة الإلكترونية من قاموس أكسفورد الإنجليزي، لم تعد كلمة ذات صلة اليوم، لأن بنسبة 1.9 بالمئة يتخلف كثيرا. سقوط لا تستطيع سوى نوكيا التعرف عليه. وفي الوقت نفسه، تشهد الرموز العاطفية ارتفاعًا سريعًا. التشابه بين نوكيا (lol) وسامسونج (الرموز) هو من قبيل الصدفة البحتة.

معكم منذ 2004

من سنة 2004 نحن نبحث في الاتجاهات الحضرية ونبلغ مجتمع المتابعين لدينا يوميًا بأحدث ما في نمط الحياة والسفر والأناقة والمنتجات التي تلهم بشغف. اعتبارًا من عام 2023 ، نقدم محتوى باللغات العالمية الرئيسية.