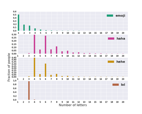
Riječ LOL vjerojatno se više ne smije, jer je njezina neprikosnovena vladavina među riječima ili kraticama kojima se izražava emocionalno stanje na društvenim mrežama nedvojbeno gotova. Barem ako je vjerovati podacima koje je otkrio Facebook, koji tvrdi da je "Laught Out Loud" izašao iz mode te da korisnici radije koriste univerzalniju verziju ha-ha i njezinih izvedenica i emotikona.
Ako još uvijek koristite skraćenica od LOL, onda si vjerojatno u manjini. Podaci (istraživanje je bilo ograničeno na komentare na Facebooku i nije brojalo sadržaje poslane putem Facebook Messengera) koje je objavio Facebook pokazuju da korisnici kao digitalni ekvivalent smijeha umjesto kratice LOL radije koriste prepoznatljiviju (uskličnik) ha ha i tako dalje emocionalni simboli (figure patuljaka). Ha-ha, varijacije su tako dobre 51% udjela među izrazima koji odražavaju emocionalno stanje (hehe npr. 13,1 posto), dok 33,7% "tržišnog udjela" pripada emocionalnim simbolima.
ČITAJ VIŠE: Trend: 10 činjenica o LOL-core jesenskom trendu

Lol, koji je 2011. bio toliko velik da je dospio je na internetsko izdanje Oxfordskog rječnika engleskog jezika, danas više nije relevantna riječ, jer sa 1,9 posto daleko zaostaje. Pad s kojim se samo Nokia može poistovjetiti. U međuvremenu, emocionalni simboli doživljavaju meteorski uspon. Sličnost između Nokie (lol) i Samsunga (emotikoni) je čisto slučajna.




