Das Wort LOL ist wahrscheinlich nicht mehr zum Lachen, da seine unangefochtene Herrschaft unter den Wörtern oder Abkürzungen, die in sozialen Netzwerken verwendet werden, um einen emotionalen Zustand auszudrücken, zweifellos vorbei ist. Zumindest wenn man den von Facebook veröffentlichten Daten Glauben schenken darf, die behaupten, dass „Laught Out Loud“ aus der Mode gekommen sei und dass Nutzer lieber die universellere Version von ha-ha und seinen Ableitungen und Emoticons verwenden.
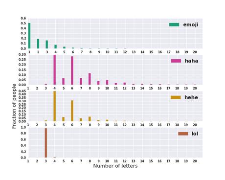
Wenn Sie es noch verwenden eine Abkürzung für LOL, dann sind Sie wahrscheinlich in der Minderheit. Die von Facebook veröffentlichten Daten (die Untersuchung beschränkte sich auf Kommentare auf Facebook und zählten keine über Facebook Messenger gesendeten Inhalte) zeigen, dass Nutzer als das digitale Äquivalent von Lachen Anstelle der Abkürzung LOL verwenden sie lieber eine besser erkennbare (Interjektion) Haha usw emotionale Symbole (Zwergfiguren). Ha-ha, die Variationen schneiden so gut ab 51 % Anteil unter Ausdrücken, die einen emotionalen Zustand widerspiegeln (hehe zum Beispiel von 13,1 Prozent), während 33,7 % „Marktanteil“ gehört zu emotionalen Symbolen.
WEITERLESEN: Trend: 10 Fakten über den LOL-Core-Herbsttrend

Lol, das war 2011 so groß, dass es so war hat es in die Online-Ausgabe des Oxford English Dictionary geschafft, ist heute kein relevantes Wort mehr, weil mit 1,9 Prozent fällt weit zurück. Ein Absturz, mit dem sich nur Nokia identifizieren kann. Unterdessen erleben emotionale Symbole einen kometenhaften Aufstieg. Die Ähnlichkeit zwischen Nokia (lol) und Samsung (Emoticons) ist rein zufällig.




