Ordet LOL er sannsynligvis ikke lenger en latterlig sak, siden dets ubestridte regjeringstid blant ordene eller forkortelsene som brukes for å uttrykke en følelsesmessig tilstand på sosiale nettverk, utvilsomt er over. I hvert fall hvis man skal tro dataene Facebook har avslørt, som hevder at «Laught Out Loud» har gått av moten og at brukere foretrekker å bruke den mer universelle versjonen av ha-ha og dens avledninger og uttrykksikoner.
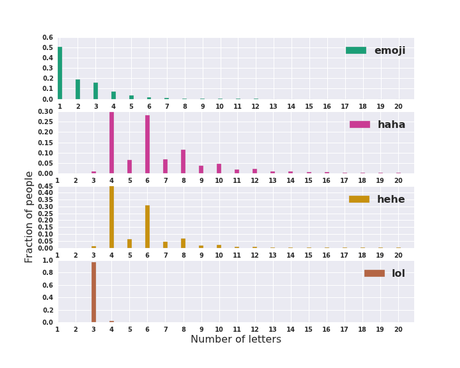
Če še vedno uporabljate kratico LOL, potem ste verjetno v manjšini. Podatki (raziskava je bila omejena na komentarje na Facebooku in ni štela vsebine poslane prek Facebook Messengerja), ki jih je objavil Facebook namreč kažejo, da uporabniki kot digitalni ekvivalent za smeh namesto kratice LOL raje uporabljajo bolj prepoznaven (medmet) ha-ha og så videre emosjonelle symboler (pritlikave podobice). Ha-ha variacije si tako režejo kar 51-odstotni delež med izrazi, ki odražajo čustveno stanje (hehe na primer 13,1-odstotnega), medtem ko 33,7-odstotni ”tržni delež” pripada čustvenim simbolom.
LES MER: Trend: 10 fakta om LOL-kjerne høsttrenden

Lol, ki je bil še leta 2011 tako velik, da se je prebil v spletno izdajo Oxfordskega angleškega slovarja, danes ni več relevantna beseda, saj z 1,9 odstotka caplja daleč zadaj. Padec, s katerim se lahko poistoveti samo še Nokia. Medtem pa meteorski vzpon doživljajo čustveni simboli. Podobnost Nokie (lol) in Samsunga (emotikonov) je zgolj naključna.




