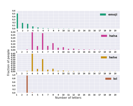
The word LOL is probably no longer a laughing matter, as its undisputed reign among the words or abbreviations used to express an emotional state on social networks is undoubtedly over. At least, if the data revealed by Facebook is to be believed, which claims that "Laught Out Loud" has fallen out of fashion and that users prefer to use the more universal version of ha-ha and its derivatives and emoticons.
If you are still using an abbreviation of LOL, then you're probably in the minority. The data (the research was limited to comments on Facebook and did not count content sent via Facebook Messenger) published by Facebook shows that users as the digital equivalent of laughter instead of the abbreviation LOL they prefer to use a more recognizable (interjection) ha ha and so on emotional symbols (dwarf figures). Ha-ha, the variations cut so well 51% share among expressions that reflect an emotional state (hehe for example of 13.1 percent), while 33.7% "market share" belongs to emotional symbols.
READ MORE: Trend: 10 facts about the LOL-core fall trend

Lol, which was so big back in 2011 that it did made it to the online edition of the Oxford English Dictionary, is no longer a relevant word today, because with 1.9 percent falls far behind. A fall that only Nokia can identify with. Meanwhile, emotional symbols are experiencing a meteoric rise. The similarity between Nokia (lol) and Samsung (emoticons) is purely coincidental.




